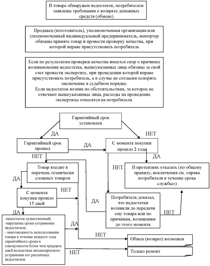
Что делать, если в товаре обнаружен недостаток?



 
Текст сообщения*
Защита от автоматических сообщений
 
© Все права принадлежат Департаменту экономики города Ростова-на-Дону, 2026
Карта сайта